PROPERTIES OF MATTER
The Properties of Matter course explores the fundamental characteristics that define and distinguish materials, focusing on both physical and mechanical attributes. Key concepts include density, which explains why oil floats on water; pressure, as seen in how sharp knives cut more effectively due to higher pressure over smaller areas; and elasticity, which is crucial in designing springs and shock absorbers. The course also covers floatation using Archimedes’ Principle, which helps explain how ships float despite their massive weight. Additionally, it examines surface tension, observable when insects like mosquitoes walk on water, and viscosity, which influences the flow of engine oils in automobiles.
5. HOOK'S LAW
5.1 Hooke’s law
Hooke’s law states that provided the elastic limit of an elastic material is not exceeded, the extension e, of the material is directly proportional to the applied force, F.
Thus, 
F = ke
where k is a constant of proportionality called elastic constant or force constant of the material. If F is in newtons and e is n metres, the elastic constant is given by
k = F/e (Nm-1)
where k is a constant of proportionality called elastic constant or force constant of the material. If F is in newtons and e is n metres, the elastic constant is given by
k = F/e (Nm-1)
1.5.1 Elastic constant of an elastic material is the force required to give unit extension
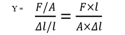
a. Young’s modulus
Young’s modulus (Y) is defined as the ratio of normal stress to the longitudinal strain.

Since strain is a dimensionless quantity, the unit of Young’s modulus is the same as that of stress i.e., Nm–2 or Pascal (Pa).
b. Bulk’s Modulus
Bulk’s modulus (B) is defined as the ratio of normal (hydraulic) stress to the volumetric strain.

SI unit of bulk modulus is the same as that of pressure i.e., Nm–2or Pa
c. Shear modulus
The ratio of shearing stress to the corresponding shearing strain is called the shear modulus of the material and is represented by. It is also called the modulus of rigidity.
G= Tangential stress /Shear strain

SI unit of shear modulus is Nm–2or Pa.
1.5.2 Examples
1. An object weighing 0.6N is hung on a spiral spring and causes it to extend by 6.0cm. The object is removed and a block of wood replacing it causes the spring to extend by 10.0cm. What is the weight of the block of wood?
2. A force of 40N applied at the end of a wire of length 4m and diameter 2.00mm process and extension of 0.24mm. calculate;
(a) Stress on the wire
(b) strain in the wire
(c) Young’s Modulus for the material of the wire (π=3.14).
3. A load of 5N gives an extension of 0.56cm in a wire which obeys Hooke’s law. What is the extension caused by a load of 20N?
4. A force of magnitude 500N is applied to the free end of a spiral of force constant 1.0 x 104Nm-1. Calculate the energy stored in the stretched spring.